肌電信號(EMG)是神經肌肉系統活動產生的生物電信號,其測量與分析在臨床醫學、運動科學、康復工程和人機交互等領域具有重要意義。
肌電信號(EMG)是神經肌肉系統活動產生的生物電信號,其測量與分析在臨床醫學、運動科學、康復工程和人機交互等領域具有重要意義。本文將系統介紹EMG信號的測量方法、預處理技術和常用分析方法。
1. EMG信號測量方法
1.1 測量系統組成
一個完整的EMG測量系統通常包括:
電極:表面電極(sEMG)或針電極(iEMG)
信號放大器:增益通常1000-10000倍,輸入阻抗>100MΩ
濾波器:帶通濾波(10-500Hz)消除噪聲
模數轉換器:采樣率≥1000Hz(滿足Nyquist定理)
數據存儲與分析單元
1.2 電極布置規范
雙極配置:兩個檢測電極沿肌纖維方向放置,間距10-20mm
參考電極:置于電中性位置(如骨突處)
皮膚準備:
剃毛(降低阻抗)
酒精擦拭(去除角質層)
磨砂膏(進一步降低阻抗至<10kΩ)
1.3 測量注意事項
噪聲來源:
電源干擾(50/60Hz工頻噪聲)
運動偽跡(電極與皮膚相對位移)
心電(ECG)串擾
解決方案:
使用差分放大和高共模抑制比(CMRR>80dB)放大器
屏蔽導線和接地處理
電極固定帶減少移動
2. EMG信號預處理
2.1 濾波處理
2.2 信號增強
全波整流:將信號轉換為單極性
線性包絡檢測:低通濾波(截止頻率2-10Hz)提取信號輪廓
3. EMG信號分析方法
3.1 時域分析
適用于肌肉激活水平和模式識別:
振幅參數:
均方根(RMS):反映信號功率
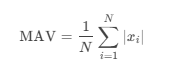
平均絕對值(MAV):計算簡單
時序參數:
激活時間(Onset Time):肌肉開始激活時刻
積分肌電(iEMG):反映肌肉總激活量
3.2 頻域分析
用于評估肌肉疲勞和神經控制特性:
功率譜密度(PSD):
快速傅里葉變換(FFT)或Welch法估計
頻譜指標:
中位頻率(MF):功率譜50%分位點頻率
平均功率頻率(MPF):
疲勞時表現為頻譜左移(MF/MPF降低)
3.3 時頻分析
適用于非平穩信號分析:
短時傅里葉變換(STFT):
固定窗長(如256ms),計算局部頻譜
小波變換(Wavelet):
多分辨率分析,常用母小波:Daubechies、Morlet
3.4 高階分析方法
非線性動力學:
樣本熵(SampEn):評估信號復雜度
李雅普諾夫指數:表征系統混沌特性
機器學習應用:
特征提取:時頻域特征組合(>20個特征)
分類算法:SVM、隨機森林用于動作識別
4. 典型應用場景
4.1 臨床診斷
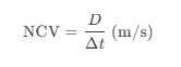
神經傳導速度(NCV)測試:
刺激神經干,記錄遠端肌肉CMAP
計算傳導速度:
運動單位分析:
針電極記錄MUAP波形
參數:時限、振幅、多相波百分比
4.2 運動科學
肌肉協同分析:
非負矩陣分解(NMF)提取協同模式
疲勞評估:
MF下降率>10%/min提示顯著疲勞
4.3 人機交互
手勢識別:
4通道sEMG + LSTM網絡(準確率>95%)
假肢控制:
實時提取RMS特征,控制多自由度假手
5. 前沿技術進展
高密度sEMG(HD-sEMG):
二維電極陣列(如8×8)實現肌肉激活成像
深度學習端到端分析:
1D-CNN直接處理原始EMG信號
無線智能貼片:
集成濾波、特征提取和藍牙傳輸(如MYO臂環)
6. 分析軟件工具
總結
EMG信號分析是理解神經肌肉功能的核心手段,選擇合適的方法需考慮:
研究目的:激活水平(時域)、疲勞(頻域)、模式識別(機器學習)
信號質量:高噪聲數據需加強預處理
實時性要求:在線控制需簡化算法(如僅用RMS)
未來趨勢將向多模態融合(EMG+IMU+EEG)和邊緣智能(嵌入式AI分析)方向發展。